PC用は別頁

== 対数方程式 ==

【対数方程式とは】
 対数関数の真数や底に未知数を含む方程式を対数方程式という.
【例1】 log2x=8
log真数=の形において,真数が未知数になっている
【例2】 log2(x−1)+log2(4−x)=1
→ よく出る形.2つの対数で,真数が未知数になっている
【例3】 logx9=2
log真数=の形において,底が未知数になっている

【対数方程式の解き方】
(1) 対数の定義を使って,指数の形に直す.
 log真数=真数=
(2) 対数関数が単調増加(底>1のとき)または単調減少(0<底<1のとき)であることにより,
底が同じで「2つの対数が等しければ,真数が等しい」と言えることを利用する.
 log真数1=log真数2 ⇔ 真数1=真数2
【例4】 log2x=3
x=23だからx=8・・・(答)
【例5】 log2(x−1)=log2(3−x)
→ 両辺の底が2で同じだから,真数が等しければよい
x−1=3−x
2x=4
x=2・・・(答)
※ただし,このような問題では,式の変形をする前に「原式で真数条件を検討しておく」のがよい.
理屈の上では,得られた結果を「原式」に代入して成立することを確かめてもよいが,「答が出てしまうと,嬉しくなって,舞い上がってしまって,油断しやすくなる」ので,真数条件は初めに検討するのがお薦めです.

【対数方程式の真数条件】
(*1) (高校の数学では)対数の真数は「正の数」でなければならない.
【対数方程式の底の条件】
(*2) (高校の数学では)対数の底は「正の数」かつ「1以外」でなければならない.・・・底の条件の方が真数条件よりも厳しいことに注意
【例5】(再掲) log2(x−1)=log2(3−x)のとき
真数条件としてx−1>0, 3−x>0を満たさなければならない
したがって,1<x<3が真数条件となる.
【例6】 logx8=3のとき
底の条件としてx>0, x≠1を満たさなければならない・・・(#1)
次に,x3=8よりx=2・・・(#2)
(#1)(#2)よりx=2・・・(答)
《なぜ,対数方程式で,真数条件が必要なのか》
● 数学の教科書には

という公式が書かれていて,これが間違ってるはずがない!と思われるかもしれませんが,「実は,この公式には,前提条件があるのです」
● すなわち
a>0, a≠1, M>0, N>0のとき

なので,M<0, N<0などのときは,成り立つとは限らないのです.
【例】
・・・(*1)
という方程式の解は,x=2だけですが
・・・(*2)
という方程式の解は,です.
 すなわち,原式が(*1)のように書かれている対数方程式を(*2)のように書き換えてから解くと,のような,
(負の数)×(負の数)の形まで混ざって来ます.
● そこで,対数方程式を解くときは,「問題文を変形する前の,原式の段階で真数になっている式は,すべて正でなければならない」という真数条件を求めておくのがよい.
● 数学的には,対数方程式を解いてから,原式を満たすものだけを解としても同じことですが,「試験に臨む生徒は,問題が解けたら,嬉しくなって舞い上がってしまって,警戒心が緩みやすいのです」.だから,『緊張している最初の段階で,原式から真数条件を求めておく方が,間違いが少ない』と言えます・・・登山の事故は,全行程の4分の3を過ぎた辺りで起こる(魔の2時)といわれているのと同様です.

【例題1】 次の対数方程式を解いてください.
  log3x=4
(解答)
対数の定義を使って,指数の形に直す
log真数=真数=
log3x=4
を指数の形
に直すと
x=34=81・・・(答)
真数条件を調べることを忘れていないか?と思う人へ
 初めに「真数条件より,x>0」書くのはよいことです.ただし,a, b>0のときに,指数関数の値ab=ccがつねに正(>0)となることは,教科書に何度も書かれている常識なので,ここでは省略しても構わない.
【問題1】 次の対数方程式を解いてください.
空欄には「半角数字」で入力してください.
採点すれば,採点結果と解説が出ます.見ているだけでは解説は出ません.
(1)
 log2x=3のとき x=
採点する
(2)
log2x=−1のとき x=
1

採点する
(3)
 2=log3(x−1)のとき x=
採点する
【例題2】 次の対数方程式を解いてください.
  log2(x−1)+log2(4−x)=1
(解答)
真数条件を調べる
  x−1>0, 4−x>0より1<x<4・・・(#1)
このとき
  log2(x−1)(4−x)=1
より
  (x−1)(4−x)=21=2
  x2−5x+6=0
  (x−2)(x−3)=0
  x=2, 3・・・(#2)
(#1)(#2)よりx=2, 3・・・(答)
(別解)
次のように,定数を対数に書き換えると,両辺の真数の比較の問題になる.(慣れたらこの方が楽)
真数条件は(#1)同じ
対数方程式の右辺を対数にする
log2(x−1)(4−x)=log22
より
  (x−1)(4−x)=2
以下同様
【問題2】 次の対数方程式を解いてください.
空欄には「半角数字」で入力してください.
採点すれば,採点結果と解説が出ます.見ているだけでは解説は出ません.
(1)
 log3(x−2)+log3(5−x)=log3(2x−6)のとき
x=
採点する
(2)
 log2(x−1)+log2(x+1)=3のとき x=
採点する
(3)
 3+log2x=log2(x+7)のとき x=
採点する
【対数に係数が付いている場合】
 右図のように,係数を真数の指数として対数の中に取り込むとよい.
【例7】 
 
【対数が分数の分子になっている場合】
 分数の係数として扱うと,1つ前の場合と同じ扱いになる
 両辺の分母を払ってもよい
【例8】 
 
【例題3】 次の対数方程式を解いてください.
  log5(x+3)=2log5(x+1)
(解答)
真数条件を調べる
  x+3>0, x+1>0よりx>−1・・・(#1)
このとき
  log5(x+3)=log5(x+1)2
より
  (x+3)=(x+1)2
  x2+x−2=0
  (x+2)(x−1)=0
  x=−2, 1・・・(#2)
(#1)(#2)よりx=1・・・(答)
【問題3】 次の対数方程式を解いてください.
空欄には「半角数字」で入力してください.
採点すれば,採点結果と解説が出ます.見ているだけでは解説は出ません.
(1)
 2log3(x−2)=log3(x+4)のときx=
採点する
(2)
  のときx=
採点する
(3)
  のときx=
採点する
【対数の2次方程式などになっている場合】
• それぞれに対数について,真数条件(真数>0)は検討しなければならない.
log2x=yとおく場合,真数がx>0の範囲であっても,対数はすべてての実数値をとり得ることに注意.
【例題4】 
次の対数方程式を解いてください.
 
(解答)
真数条件から,x>0・・・(#1)
元の方程式は
 
と変形できるから
log2x=yとおくと
 y2−2y−3=0
 (y−3)(y+1)=0
 y=3, −1
log2x=3, −1より
 ・・・(#2)
(#1)(#2)より
 ・・・(答)
【問題4】 次の対数方程式を解いてください.
空欄には「半角数字」で入力してください.
採点すれば,採点結果と解説が出ます.見ているだけでは解説は出ません.
(1)
  のとき
x=,
採点する
(2)
  のとき
x=
, ,

(小さい順に答えてください)
採点する
(3)
  のとき
x=, (小さい順に答えてください)
採点する
(再掲)
【対数方程式の底の条件】
(*2) (高校の数学では)対数の底は「正の数」かつ「1以外」でなければならない.・・・底の条件の方が真数条件よりも厳しいことに注意
【例6】 logx8=3のとき
底の条件としてx>0, x≠1を満たさなければならない・・・(#1)
次に,x3=8よりx=2・・・(#2)
(#1)(#2)よりx=2・・・(答)
【例題6】 
次の対数方程式を解いてください.
 
(解答)
真数条件から,x>0
底の条件から,x>0, x≠1
以上により,x>0, x≠1・・・(#1)
底の変換公式を用いると,元の方程式は
 
 
 
と変形できるから
log3x=yとおくと
 y2=1
 y=±1
元のxに戻すと
log3x=1, −1より
 ・・・(#2)
(#1)(#2)より
 ・・・(答)
【問題5】 次の対数方程式を解いてください.
空欄には「半角数字」で入力してください.
採点すれば,採点結果と解説が出ます.見ているだけでは解説は出ません.
(1)
  のとき
x=
,

(小さい順に答えてください)
採点する
(2)
  のとき
 x=
(小さい順に答えてください)
採点する

《まとめの問題》
 次の方程式を解きなさい。
空欄を「半角数字で」埋めてください.
採点すれば採点結果と解答が出ます.採点しなければ,解答は出ません.
(1)
 log10x+log10(x+7)=1+log10(x+1)
(答案)
真数条件 x>0,x+7>0,x+1>0より
x>・・(1)
方程式を変形すると
log10x+log10(x+7)=log10+log10(x+1)
log10x(x+7)=log10 (x+1)

x(x+7)=10(x+1)を解くと
x=,− ・・・(2)
(1)(2)より
x=・・答

(2)
log2(x-1)=log2(5x+3)-log2(x+2)
(答案)
真数条件 x-1>0,5x+3>0,x+2>0より
x > ・・(1)
方程式を変形すると
 log2(x−1)+log2(x+2)=log2(5x+3)
 log2(x−1)(x+2)=log2(5x+3)
 (x−1)(x+2)=(5x+3)
 x2+x−2=5x+3
 x2−4x−5=0
 (x−5)(x+1)=0
 x=5,−1

(1)(2)より,x=・・答

(3)
 
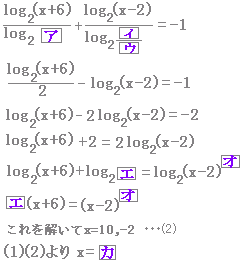
(答案)
真数条件 x+6>0,x−2>0 より
x>2・・(1)
底を2にそろえると
[ア]=
[イ]=
[ウ]=
[エ]=
[オ]=
[カ]=










(4)

 (log2x)2log2x3−10 =0
(答案)
真数条件 x>0,x3>0 より
x>0・・(1)
(log2x)2− log2x−10 =0
log2x=A
とおくと (A は正でも負でも可能!!)
A2A−10=0
(A-5)(A+2)=0
A=5,−2
log2x=5,−2
より
x =・・(2)
(1)(2)より
 x =・・答

 
[ア]=
[イ]=
[ウ]=
[エ]=







(5)
(答案)
真数条件 x>0・・(1)

このとき両辺とも正だから底2の対数をとると
・・(2)
(1)(2)より

[ア]=
[イ]=
[ウ]=






...(携帯版)メニューに戻る

...メニューに戻る