← 携帯版

== 1次独立,1次従属,基底,次元,核,階数 ==

○ はじめに
 1次独立,1次従属は1つのベクトルがもっている性質ではなく,ベクトルの組がもっている性質である.
 列ベクトルの組(もしくは行ベクトルの組)から成り立っている行列を考えると,1次独立・1次従属という性質は行列がもっている性質に対応する.

○1 簡単な例でイメージ作り
(1) 例えば という3つのベクトルについては,

.=2+3
が成り立ち,ベクトルは他の2つのベクトルの1次結合で表すことができる.このときベクトルは右図1のように,2つのベクトル , で作られる平面上にある.

(2) しかし,という3つのベクトルの場合, ベクトルは,これらの1次結合

k1+k2
の形には表せない.
[←なぜなら]
 k1+k2
の形に書けるためには
k1+k2=0
k1−k2=0
0 k1+0 k2=1
が成り立たなければならないが,これを満たすk1k2は存在しない.
 このときベクトルは右図2のように2つのベクトル , で作られる平面上にない.

 この頁では,ベクトルの組が与えられたときに「その中の少なくとも1つのベクトルが他のベクトルの1次結合で表される場合=1次従属」と「その中のどのベクトルも他のベクトルの1次結合では表せない場合=1次独立」を扱う.
◇1次結合とは◇
 k1+k2+ ··· +kn のように幾つかのベクトルの定数倍の和で表されるものをこれらのベクトルの1次結合という.

図1

図2
 

○2 1次独立,1次従属の定義

ベクトルの組 , , ··· について
 k1+k2+ ··· +kn=
ならば
k1=k2= ··· =kn=0

が成り立つとき,これらのベクトルの組 , , ··· , 1次独立であるという.1次独立でないとき1次従属であるという.
(解説)

 k1=k2= ··· =kn=0のとき,k1+k2+ ··· +kn=は当然成立する.ここでは,「k1+k2+ ··· +kn=が成り立つのはk1=k2= ··· =kn=0の場合に限られる」ときに,そのようなベクトルの組を1次独立と定義するということである.
 上では1次独立を定義して,そうではない場合を1次従属としていることになるが,1次従属の方から定義してそうでないものを1次独立としてもよい.この場合,
 少なくとも1つのkp (1pn)について,
kp0かつk1+k2+ ··· +kn=が成り立つときを1次従属と定義することになる.
 このとき,
kp=−k1−k2−··· −kn (右辺は第p項以外)
の両辺をkp0で割ると
となって,が他のベクトルの1次結合で表されることになる.
◇「すべて」と「ある」に関するド・モルガンの法則◇
「すべてのxについてp(x)が成り立つ」の否定は「あるxについてp(x)が成り立たない」
「あるxについてp(x)が成り立つ」の否定は「すべてのxについてp(x)が成り立たない」

⇔ 否定にするにはp(x)の部分を否定に変えるだけでなく,「すべて」と「ある」も入れ替える.
「ある」ベクトルについて
. =k1+k2+ ···
の否定は,

「すべての」ベクトルについて

.k1+k2+ ···

例1 次のベクトルの組が1次独立かどうか調べよ.
 
(解答)

 x+y+z= …(1)
 すなわち
…(2)
 すなわち
…(3)
x=y=z=0 以外の解をもつかどうか調べるとよい.
 ここで,(3)の係数行列をAとおくと,その行列式はdet(A)=39 (0)となり,逆行列が存在することになり,
と解けてしまう.これは解がx=y=z=0だけであることを示しているから,元のベクトルの組は1次独立…(答)
※ 後に述べる定理により,方程式の個数が未知数の個数よりも多いときは必ず1次従属となる.
 方程式の個数が未知数の個数と等しいときは逆行列が0であるか否かで調べられる.
 方程式の個数が未知数の個数よりも少ないときも形だけでは決められず中身を調べる必要がある.
例2 次のベクトルの組が1次独立かどうか調べよ.
 
(解答)

 x+y+z= …(1)
 すなわち
…(2)
 すなわち
…(3)
x=y=z=0 以外の解をもつかどうか調べるとよい.
 ここで,(3)の係数行列をAとおくと,その行列式はdet(A)=0となり,逆行列が存在しない.例えばx=1, y=1, z=−1のとき(*1)
が成立するので,x=y=z=0以外の解が存在することになり,元のベクトルの組は1次従属…(答)
(*1)の求め方:
◇筆算で,いわゆる不定解として求めるとき◇
2x−y+z=0 …(1)
−x+y=0 …(2)
−2x+5y+3z=0 …(3)
(2)よりy=(x) …(2’) …y , zxで表す(xについては解かない)ことにして,解かないことを忘れないようにカッコに入れる
これを(1)(3)に代入
(x)+z=0 …(1’)
y=(x) …(2’)
(3x)+3z=0 …(3’)
(1’)(3’)は同じ式だから(3’)は不要
y=(x)
z=(−x)
よって
x=t
y=t
z=−t (t0)
とするとx=y=z=0以外の解となる.
たとえば (x, y, z)=(1, 1, −1)はこれを満たす.

Excelで,ソルバーを使って求めるとき◇
(1) 次の表のようにA1:C3に列ベクトルの組からなる行列を入力しておく.
(2) E1:E3にx,y,zの仮の値を入力しておく.
(3) G1:G3に行列の積 Aの結果を書き込んでおく.
(4) ソルバーに依頼する作業は「 G1=G2=G3=0となるようにE1:E3の値を定めよ」ということであるが,ソルバーの目的セルは1つのセルしか指定できないので,次の関係式を利用して1つにする.
G1=G2=G3=0G12+G22+G32=0
このために,G5に =SUMSQ(G1:G3)と記入して2乗の和 G12+G22+G32の計算式を書き込んでおく.
(5) このままソルバーを走らせると,E1=E2=E3=0という自明解の方に向かって安易に流れてしまうので,これを防ぐための「制約条件」を指定する.
1) ほとんどの場合,ベクトルの大きさが1となるように指定すればよいが,この場合,下記の表のように小数で結果が出ることになる.
2) 数学の問題として解いていて「整数値で結果を出したい」ときは,制約条件としてE1:E3のうちの1つの値を1に指定するとそれらの比率が分かりやすい.(0:3:5のように第1成分が0になる場合もあるので,第1成分を1にすれば必ずできるとは限らない.)
  A B C D E F G
1 2 -1 1   0.5773   -0.0001
2 -1 1 0   0.5773   0.0000
3 -2 5 3   -0.5774   -0.0004
4              
5         1.0000   0.0000
【ソルバーを用いた不定方程式の解き方:まとめ】
(1) E1:E3には仮の値を適当に入力しておく.
(2) G1に行列Aと列ベクトルE1:E3の積の計算式を書き込む. =MMULT(A1:C3,E1:E3)
(3) (2)のままでは行列の積のうち1つの成分が書き込まれるだけなので,これをG1:G3に配列として書き込むために G1:G3を選択・反転させておいて,画面上にある数式バーをポイントして Ctrl+Shift+Enterとする.
(4) G12+G22+G32=0によって,ソルバーの目的を設定するためにセルG5に =SUMSQ(G1:G3)と書きこむ.
(5) E1:E3に整数値の解が得られるように,ソルバーの制約条件としてたとえばE1=1という条件を考えておく.
(*) ソルバーを走らせる.
Excel2002→ツール→ソルバー(Excek2007→データ→ソルバー)
・目的セル:G5,目標値:値0,変化させるセル:E1:E3,制約条件:E1=1
⇒ 以上により,(1, 1, −1)の解が得られる.
※ 以上の方法でパラメータ(任意定数)1個を含む不定解が求められる.



例3 A1:D4に示される行列の4個の列ベクトルが1次独立かどうか調べよ.
  A B C D E F
1 4 -5 3 0    0.5
2 5 7 0 3    0.5
3 -7 0 7 5    0.5
4 1 5 4 5    0.5
(解答)
行列式が0となるから1次従属(Excel上のA1:D4までにデータがあるときは =MDETERM(A1:D4)により分かる)
証明としては上の答案だけでよいが,具体的に不定解の解ベクトルをF1:F4に示したいとき
・F1:F4の書式を「分数.3桁増加」に指定
・ソルバーを走らせるときに制約条件としてF2=1を指定(試してみるとF1=0になるから)
⇒ E1:E4の結果が次のようになれば,
-0
1
1 2/3
-2 1/3
0:1:1 2/3:-2 1/3=0:3:5:-7 (分数表示では仮分数は帯分数で表示され,負の分数は整数部分だけに符号がつく)
これより (x1, x2, x3, x4)=t(0, 3, 5, −7) (t0)
1つの例を示すには (x1, x2, x3, x4)=(0, 3, 5, −7)

○ 以下においてn次元空間からn次元空間への1次変換のみ扱う.このとき1次変換を表す行列はn次正方行列となる.
○3 1次独立なベクトルの組による表し方の一意性
 ベクトルの組 , , ··· が1次独立であるとき,あるベクトルをそれらの1次結合で表す方法はただ1通りに定まる.
 すなわち,
 =s1+s2+ ··· +sn

 =t1+t2+ ··· +tn
ならば s1=t1, s2=t2, ···, sn=tn が成り立つ.

(※ 恒等式の係数比較法のときと同様に,対応する係数が等しいといえる.)
(証明)
 s1+s2+ ··· +sn=t1+t2+ ··· +tn
ならば
 (s1−t1 )+(s2−t2 )+ ··· +(sn−tn )=
と変形できる.
 ここで, , , ··· は1次独立であるから,
s1−t1=0, s2−t2=0, ···, sn−tn=0
が成り立つ.よって, s1=t1, s2=t2, ···, sn=tn
※ n次元ベクトルをn個の1次独立なベクトルの組 , , ··· で表しているときは,次のように考えてもよい.
 これらのベクトルの組で作られる行列をAとおくと

と表すことができ
と書ける.
 ベクトルの組 , , ··· が1次独立であるとき,行列Aには逆行列A−1が存在し,この式の両辺に左からA−1を掛けると
となって,係数k1, k2, ···, knは一意的に定まる.
(※ の像がだから,逆変換が存在すればの原像がになる.)


○4 基底と次元
○ ベクトルの組 , , ··· によって

k1+k2+ ··· +kn
の形に表すことができるベクトル全体からなる空間を考えるとき,この空間は , , ··· によって生成されるという.

○ 空間Vを生成する1次独立なベクトルの組 , , ··· を空間V基底という.

○ 基底となるベクトルの組は一般に幾通りもあるが,そのうちn次元空間の基本ベクトルの組
,… ,
標準基底と呼ばれる.(標準基底は1組のみである.)

○ 1つの空間Vを生成する1次独立なベクトル(基底)の個数は,基底のとり方によらずに一定である.これを次元といい
dim(V)
で表す.

※ n個の成分をもつベクトル
,… ,
によって生成される空間はn次元であるが,成分の個数ではなく1次独立なベクトルの個数(基底の個数)によって次元を定義している.

 ○1で示したベクトルはxy平面を生成するが,これらのどのような1次結合もz成分が0でないベクトルを表すことはできない.これらのベクトルは1次従属で3次元空間の基底ではない.
 という3つのベクトルの1次結合はxyz空間のすべてのベクトルを表すことができる.これらのベクトルは1次独立で3次元空間の基底になっている.

○5 像と核,行列の階数
 n次正方行列Aで表される1次変換によってn次ベクトルがn次元ベクトルに移されるとき
(1) に移されるベクトル全体をAによる1次変換のといい Ker(A) で表す.(kernelの略)
(2) Aによる(像の全体)を Im(A)で表す.(Imageの略)

このとき
(3) dim(Im(A))Aによる像の次元)をrank(A)で表し,行列(1次変換)A階数という.

【重要】
(4) dim(Ker(A))+rank(A)=n が成り立つ.

(*) det(A)0ならば(正則行列ならば)
dim(Ker(A))=0
rank(A)=n
が成り立つ.
(解説)
(1) の原像がkernel
  記号で表せば,Ker(A)={ | A= }
Ker(A)は,加法と定数倍について閉じた1つの空間をなしている.
  , Ker(A) ならばA= , A=により
1) A(+ )=だから+Ker(A)
2) A(k )=k A=だからkKer(A)
(2) 生成される空間(値域)全体がIm(A)
  記号で表せば,Im(A)={ A | V }
Im(A)は,加法と定数倍について閉じた1つの空間をなしている.
  , Im(A) ならばA= , A=となる , が存在し
1) +=A(+A )=A(+ )だから+Im(A)
2) k=k A=A(k )だからkIm(A)

(3) 1次変換によって作られる空間の次元がrank(A)で,rank(A)は行列Aの列ベクトルのうちで1次独立な列ベクトル(または行ベクトル)の個数に対応している.

(4) 1次変換によって作られる空間の次元は,元の空間の次元からに縮退する定義域の次元(kernelの次元)を引いたものに等しい.

(*) 正則行列すなわち逆行列が存在するときは,det(A)0で,Ker(A)だけからなる0次元の空間となり,行列Aの1次独立な列ベクトル(または行ベクトル)はn個ある.
(4)の証明
 n次元空間Vの基底はn個ある.そのうちKer(A)の次元をrとし,その基底を , , ··· , とおく.残りの基底を , , ··· , とし,その次元をsとする.(ただし,r+s=n
 このとき,A= , A= , ··· , A=で定義されるベクトル , , ··· , Im(A)の基底となることを示せばよい.すなわち,これらがIm(A)を生成しかつ1次独立であることを示せばよい.
1) [← Im(A)を生成すること]
 Im(A)ならば=Aとなるベクトルが存在する.
 Vの任意のベクトルはその基底
, , ··· , , , ··· ,
の1次結合で表されるから,
  =p1+p2+ ··· +pr+q1+q2+ ··· +qs
と表せる.
したがって,
  A=A(p1+p2+ ··· +pr+q1+q2+ ··· +qs )
  =A(p1+p2+ ··· +pr )+A(q1+q2+ ··· +qs )

  ここで , , ··· , Ker(A)の基底だから
  A(p1+p2+ ··· +pr )=
が成り立ち
  A=A(q1+q2+ ··· +qs )=q1+q2+ ··· +qs
となる.
よって , , ··· , によって生成される.

2) [← 1次独立であること]
q1+q2+ ··· +qs=
ならば
  q1A+q2A+ ··· +qsA =
したがって
  A(q1+q2+ ··· +qs )=
この式は
  q1+q2+ ··· +qsKer(A)
を表している.
よって,
q1+q2+ ··· +qs=p1+p2+ ··· +pr
と書ける.
すなわち
q1+q2+ ··· +qs−p1−p2− ··· −pr=
ところが,
, , ··· , , , ··· ,
Vの基底だから,1次独立でありすべての係数は0に等しい.
ゆえに,
q1=q2= ··· =qs=0
となり,1次独立であることが示される.


例1
 行列A=で表される1次変換について
(1) Ker(A)を求めよ.(基底を1組示せ)
(2) Im(A)を求めよ.(基底を1組示せ)
(3) rank(A)を求めよ.
(解答)
(1) を解くと
 (x, y, z)=t(−4, −1, 1)となるから
 基底(−4, −1, 1)によって生成される空間 …(答)
(2) 
(3, 4, 2)=4(1, 1, 0)+(−1, 0, 2)となることに注意すると,(*)
x(1, 1, 0)+y(−1, 0, 2)+z(3, 4, 2)
=x(1, 1, 0)+y(−1, 0, 2)+z{ 4(1, 1, 0)+(−1, 0, 2) }
=(x+4z)(1, 1, 0)+(y+z)(−1, 0, 2)

x+4z=s , y+z=tとおくと
=s(1, 1, 0)+t(−1, 0, 2)
2つの基底(1, 1, 0) , (−1, 0, 2)によって生成される空間 …(答)
(*)からこの結果を直接述べてもよい.
(3) dim(Ker(A))=1だからrank(A)=3−1=2 …(答)

例2
 行列A=で表される1次変換について
(1) Ker(A)を求めよ.
(2) Im(A)を求めよ.(基底を1組示せ)
(3) rank(A)を求めよ.
(解答)
 det(A)=−9 ( 0 ) だから
(1) Ker(A)={ } …(答) (自明解のみをもつ)
(2) 基底 (1,1,2), (−1,2,0), (1,4,1)によって生成される空間(3次元空間全体)…(答)
(3) rank(A)=dim(Im(A))=3 …(答)

例3
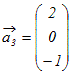
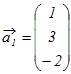
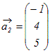
 ○1 (1)で示した3つの列ベクトルからなる行列A=で表される1次変換について
(1) Ker(A)を求めよ.(基底を1組示せ)
(2) Im(A)を求めよ.(基底を1組示せ)
(3) rank(A)を求めよ.
(解答)
(1) 
x+y+5z=0
x−y−z=0
を変形してx, y(z)で表すと((z)については解かないことにする)
x+y=(−5z)
x−y=(z)

x=(−2z)
y=(−3z)
したがって (x, y, z)=(−2z, −3z, z)=t(−2, −3, 1)
よって,基底(−2, −3, 1)によって生成される空間 …(答)
(2)
x+y+z
=x+y+z{ 2+3 }
=(x+2z)+(y+3z)
x+2z=s , y+3z=tとおくと
s+t
さらに,s+t=p , s−t=qとおいて
p+qと書ける.
基底(1,0,0), (0,1,0)によって生成される空間 …(答)

(3) rank(A)=dim(Im(A))=2 …(答)

...(携帯版)メニューに戻る

...(PC版)メニューに戻る


■[個別の頁からの質問に対する回答][1次独立,1次従属,基底,次元,核,階数について/18.9.9]
先程この項で質問した者です。まだいくつか疑問に思ったことがあるので申し訳ありませんが質問させていただきますm(__)m 質問1 5.像と核の例1の(3)で、なぜ、dim(ker(A))=1なんでしょうか? 私の考えとして、4.基底と次元のところの次元の定義から基底の個数を次元としていますから、(1)の(x.y.z)=t(-4.-1.1)は基底の集合だと私は思うので、基底の個数はt、tは実数のことでしょうから実数が次元となるのだと思いました(何次元かを聞かれて実数次元なんていう答えが間違いなのはわかります) 質問2 5.像と核の例1の行列Aは、det(A)=16≠0から逆行列が存在するのに、なぜ、(1)で(x.y.z)がx=y=z=0以外の解、t(-4.-1.1)、があるのでしょうか?例2では例2のAの行列が逆行列を持っているのでx=y=z=0ですが。 質問3 5.像と核の例3の(3)で、逆行列が存在しないのに、5.像と核の青線でくくられた定義が書かれているところの米印の定理?を使っていますが、いいのでしょうか?
=>[作者]:連絡ありがとう.質問1:t(-4.-1.1)は1次元です.質問2:det(A)=0です.質問3:(*)は使っていません.【重要】(4)です.
■[個別の頁からの質問に対する回答][1次独立,1次従属,基底,次元,核,階数について/18.9.9]
5.像と核の(4)の解説で、1次変換によってつくられる空間の次元は〜のあとに1次変換によってつくられる空間の次元についての説明がありますが、原像と一次変換による像とで次元は変わらないのではないでしょうか?変換の意味からして。
=>[作者]:連絡ありがとう.書いてあるつもりですが,それではわからんということかな?
dim(Ker(A))+rank(A)=n だからdim(Ker(A))=1のときは原像が3次元でも像は2次元に,dim(Ker(A))=2のときは原像が3次元でも像は1次元になります.
【例1】

の場合,原像が3次元でも,Ker(A)が1次元だから像は2次元になります.
【例2】

の場合,原像が3次元でも,Ker(A)が2次元だから像は1次元になります.
■[個別の頁からの質問に対する回答][1次独立,1次従属,基底,次元,核,階数について/17.9.22]
よく理解できました 有難う御座います 標準基底e1=(1) e2=(0)      (0) (1) とするとこの基底で線形写像fに対応する行列(1.-1) (2.4) fを基底(1) (1) (2) (1) によって表すとき対応する行列に求めよ 上記の解答をお願いします よろしくお願いします
=>[作者]:連絡ありがとう.質問を解読するのが難しいのと同様に,プレーンテキストで書かれたメールで行列を表すことはできませんので,web上で回答します.
そもそも質問内容が十分伝わりませんが,「標準基底で表された点が一次変換によって点に移されるとき
この移動をを基底とする座標で表したときの一次変換の行列を求めよ」という問題だとします.
すなわち,「であって,
であるとき,で表せ」という問題ならば
これにより,行列の積を気長に計算すればよいことになります.
■[個別の頁からの質問に対する回答][1次独立,1次従属,基底,次元,核,階数について/17.1.27]
いつも参考にさせて頂いております。 例3の回答(2)の3行目、 (x+2y)(1,1,0)・・・・略 ですが、(x+2z)(1,1,0)ではないでしょうか。 私が勘違いしているだけかもしれませんが、ご確認のほどよろしくお願いいたします。
=>[作者]:連絡ありがとう.入力ミスでしたので訂正しました.