■直交行列とは(定義,性質)

○次の4条件は互いに同値(必要かつ十分)であることを示すことができる.したがって,いずれか1つを直交行列(orthogonal matrix)の定義とすれば他は直交行列の性質となる.(*は性質としたときの記述)

 [前提] 直交行列は,各成分が実数である正方行列に対して定義される.
 行列Pを,各成分が実数であるようなn次の正方行列とするとき,次の4条件は同値(必要かつ十分)になる.
(I) tP P=P tP=E すなわち P−1=tP
[* 直交行列の逆行列は転置行列に等しい]
(II) P·P=·
[* 直交行列(で表される一次変換)はベクトルの内積を変えない]
(III) |P|=||
[* 直交行列(で表される一次変換)はベクトルの大きさを変えない]
(IV) 行列Pの各列を表す列ベクトル (i=1n)は互いに垂直で,各々の大きさは1である.
[* 直交行列の列ベクトルは正規直交基底をなす]
(その他) [* 直交行列(で表される一次変換)は2つのベクトルのなす角を変えない]ことも示される.


○ ここでは(IV)を直交行列の定義とし,他を性質とする.
(IV)を3次の正方行列の例で示すと,右図のように行列Pの列ベクトル (i=13)が次の関係を満たすことをいう.

第1列と第2列は垂直:· = ·0+0·1+(− )·0 = 0 …(1)

第1列と第3列は垂直:· = ·+0·0+(− = 0 …(2)

第2列と第3列は垂直:· = 0·+1·0+0· = 0 …(3)

※ 言葉としては列ベクトルが互いに垂直だから直交行列と考えるとよいが,垂直(orthogonal)であるだけでなくさらに各列ベクトルが規格化されている(大きさが1になるようにしていある)もの(規格直交行列:orthonormal になっているもの)を単に直交行列と呼ぶ.

第1列の大きさは1:| |2 = ·+0·0+(− )·(− ) = 1 …(4)

第2列の大きさは1:| |2 = 0·0+1·1+0·0 = 1 …(5)

第1列の大きさは1:| |2 = ·+0·0+· = 1 …(6)

○ (IV)→(I)の証明

P= とするときtP=
このとき tP P の(1,1)成分は(4)式より| |2 = 1になる.

tP P の(2,2)成分,(3,3)成分も(5)(6)式より| |2 = 1| |2 = 1となる.
このように,対角成分は行列Pの列ベクトル自身の積になるから1に等しい.

次に,(1,2)成分は(1)式より· = 0になる.
同様にして対角成分以外の成分は(1)〜(3)により0になる.
このように,対角成分以外の成分は行列Pの相異なる列ベクトルの内積になるから0に等しい.

以上によりtP P=Eが成り立つ. このとき,P tP=Eも成り立つことは右の※参照.
 以上によりP−1=tPが成り立つ.
ここでは3次の正方行列の具体例で示したが,一般のn次の正方行列の場合にも同様にして示すことができる.

  逆に(I)→(IV)は次のように示せる.
  tP P=Eのとき,対角成分を比較すると| |2=| |2=| |2=1
すなわち| |=| |=| |=1だから,列ベクトルの大きさは1になる.
 また,対角成分以外の成分を比較すると,相異なる列ベクトルの内積が0に等しいことが分かる.
○ (I)→(II)の証明
 ベクトルの内積·は行ベクトルからなる行列t と列ベクトルからなる行列 の行列としての積で得られる: ·=t

 したがって

P·P=t(P)(P)
 ここで,転置行列の積についてはt(AB)=tBtA が成り立つから

t(P)(P )=(tt P)(P )
行列の積については結合法則(AB)C=A(BC)が成り立つから

(t t P)(P )=t( t P P)
(I)によりtP P=Eだから
t ( t P P)=t( E)=t =·
ゆえに,直交行列は任意の2つのベクトルの内積を変化させない.

○ (II)→(III)の証明
P·P=·
において =となる場合を考えると
P·P=·
任意のベクトルについて自分自身との内積はベクトルの大きさの2乗になる:·=||2 から,上の式は
|P|2=||2
|P|=|| (>0)
したがって,直交行列は任意のベクトルの大きさを変えない.
○ (III→IV)の証明
基本ベクトルを とすると,
ここで, だから
|P|=|| から ||=||=1 が示せる.
同様にして, だから
|P|=|| から ||=||=1 が示せる.
||=||=1 も同様に示せる.
以上により,行列Pの各列を表す列ベクトルの大きさが1となることがいえる.

次に,|P(+ )|=|+ | の両辺を比較すると · =0 が示せる.
他の組合わせも同様に示せるから,行列Pの各列を表す列ベクトルは互いに垂直であることがいえる.
以上の証明により次の関係が示されたことになり,いずれか1つを仮定すれば他は導かれる.すなわち,いずれか1つを定義とすれば他は性質となる.

○ (2つのベクトルのなす角が変わらないことの証明)
2つのベクトルのなす角をΘとおくとき,角Θ(の余弦:cosΘ)は内積と大きさを用いて次のように表せる.
·=||·||cosΘ
直交行列Pによって2つのベクトルの内積が変わらず,各々のベクトルの大きさも変わらないから,
P·P=|P|·|P|cosΘ
となるとき P·P=·|P|=|||P|=|| だから
cosΘ’= = = cosΘ
となり
ΘΘ’が成り立つ.

























※ 一般に,行列の積については交換法則が成り立つとは限らない.すなわち,ABBAが等しいとは限らないが,結合法則(AB)C=A(BC)は常に成り立つ.
 そこで,逆行列に関連して,AX=Eとなる行列XYA=Eとなる行列X , Yが等しいことは次のようにして示せる.
(YA)X=Y(AX)…(i)だから
AX=E…(ii)
YA=E…(iii)
のとき
(i)の(左辺)=EX=X
(i)の(右辺)=YE=Y
よってX=Y


【直交行列の例】
○ 2次の正方行列での例
(1) 各点を原点のまわりに角Θだけ回転させる行列
⇒ 列ベクトルの内積は cosΘ(−sinΘ+sinΘcosΘ = 0になっている.
⇒ 列ベクトルの大きさは cos2Θ+sin2Θ = 1 および (−sinΘ)2+cos2Θ = 1 になっている.
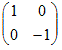
(2) 各点をx軸に関して対称に移動させる行列

※直交行列によって「2点の間の距離が変わらないから,すべての図形は合同な図形に移される.ただし,裏返しになることはある.」
○ 3次の正方行列での例
(1) 各点をx軸のまわりに角Θだけ回転させる行列
(2) 各点をy軸のまわりに角Θだけ回転させる行列
(3) 各点をz軸のまわりに角Θだけ回転させる行列

■軽い確認問題
(1) 次の行列は直交行列である.この行列の逆行列を求めよ.
0.502 0.787 -0.359
0.865 -0.464 0.191
0.016 0.406 0.914

(2) 直交行列Pについては各列を表す列ベクトルは互いに垂直で各々の大きさは1に等しい.このとき「各行を表す行ベクトルも互いに垂直で各々の大きさは1に等しくなる」ことを説明せよ.
(3) 2つの行列P , Qが直交行列であるとき,それらの積PQも直交行列となることを証明せよ.
(4) 直交行列の行列式の値は1か-1のいずれかになることを示せ.

○===高卒〜大学数学基礎メニューに戻る ○===戻る
■[個別の頁からの質問に対する回答][直交行列について/16.12.20]
よかったです
=>[作者]:連絡ありがとう.