|
○この頁に登場する【問題】は,公益社団法人日本技術士会のホームページに掲載されている「技術士第一次試験過去問題 共通科目A 数学」の引用です.(=公表された著作物の引用)
○【解説】は個人の試案ですが,Web教材化にあたって「問題の転記ミス」「考え方の間違い」「プログラムの作動ミス」などが含まれる場合があり得ます. 問題や解説についての質問等は,原著作者を煩わせることなく,当Web教材の作成者(<浅尾>)に対して行ってください.
平成16年度技術士第一次試験問題[共通問題]
【数学】V-13 複素数zに関する2次方程式z2+2iz−2=0の解は,次のどれか.ただし,i=とする. 11±i 2−1±i 3i±1 4−i±1 5解なし 解説
z=a+bi(a, bは実数)とおく
(a+bi)2+2i(a+bi)−2=0より a2+2abi−b2+2ai−2b−2=0 (a2−b2−2b−2)+2(ab+a)i=0 a, bは実数だから a2−b2−2b−2=0…(1) a(b+1)=0…(2) (2)より,(ア)a=0 (イ)b=−1 (ア)の場合
(1)より−b2−2b−2=0
(イ)の場合b2+2b+2=0 → 実数解をもたないから不適
(1)よりa2−1+2−2=0
≪別解≫a2=1 → a=±1 z=±1−i → 4
◆2次方程式の解の公式◆
解の公式により
z==−i±1
ax2+bx+c=0 (a≠0) → x= ax2+2b’x+c=0 (a≠0) → x= は,係数a,b,cが虚数(複素数)の場合でも使えます. ただし,根号の中が虚数になるとき,例えばx=1±では,は,その2乗がiとなる数 =±と解釈することになります. |
|||||
|
◆1の虚数3乗根ωの性質◆
ω3=1, ω2=−ω−1だから
⇒ 特急券:ω3=1を使えば,次数を3次下げられます. ◎特急券と急行券を組み合わせて,次数を下げられるだけ下げてから,値を求めます. ω= を直接代入すると複雑な計算になり,計算間違いが多くなります.直接代入するのを避ける工夫が,上記の特急券と急行券です. 2+ω−ω2−2ω4=2+ω−ω2−2ω =2+ω−(−ω−1)−2ω=2+ω+ω+1−2ω=3 → 4 |
|||||
|
平成18年度技術士第一次試験問題[共通問題]
【数学】V-11 x=1−2iのとき,x4+2x3−4x2+22x+5の値は次のどれか.ただし,i=とする. 11+2i 21+i 30 41 510 解説
※通常,この形の問題では,与えられた複素数が満たす2次方程式を作り,割り算によって次数を下げて考えます.
x=1−2i ⇔ x−1=−2i → (x−1)2=(−2i)2
そこで,x4+2x3−4x2+22x+5をx2−2x+5で割って,商と余りを求めると,商がx2+4x−1で余りが10となるので⇔ x2−2x+1=−4 ⇔ x2−2x+5=0
x4+2x3−4x2+22x+5
ここで,x=1−2iのとき,x2−2x+5=0だから,
=(x2−2x+5)(x2+4x−1)+10=I
I=10 → 5
|
|
平成19年度技術士第一次試験問題[共通問題]
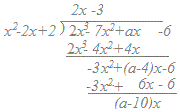
【数学】V-12 3次方程式2x3−7x2+ax−6=0の1つの解が複素数1+iのとき,実数aの値は次のどれか.ただし,i=とする. 12 24 36 48 510 解説
(1+i)2=2i, (1+i)3=−2+2iだから
2x3−7x2+ax−6
このときa=10 → 5
≪別解≫・・・「実係数方程式が複素数解をもつならば,その共役複素数もまた解となる」ことを利用する=2(−2+2i)−7(2i)+a(1+i)−6 =−4+4i−14i+a+ai−6 =(−4+a−6)+(4−14+a)i =(a−10)+(a−10)i=0 実係数方程式が複素数α=1+iを解にもつから,その共役複素数β=1−iもまた解となる
α+β=2, αβ=2だから,解と係数の関係により,これらは2次方程式x2−2x+2=0 の解となる. 割り算を行うと,右のようになりa=10が条件となる
x=1+iが解となる実係数の2次方程式は,次のように求めてもよい
x=1+i ⇔ x−1=i → (x−1)2=i2 ⇔ x2−2x+1=−1 ⇔ x2−2x+2=0 x=1+iのまま2乗すると虚数の係数が残るが,x−1=iのように右辺をiだけにすると,2乗したときに(2次方程式が)実係数となるところがポイント |
|
※幾つか実験してみる
(1+i)1=1+i (1+i)2=1+2i−1=2i (1+i)3=(1+i)2i=−2+2i (1+i)4=(2i)2=−4 だから,n=4 → 4 |
|
ド・モアブルの定理
(cosθ+i sinθ)n=cos nθ+i sin nθ を用いると,1のn乗根についての次の公式が得られます.
(cosθ+i sinθ)n=cos nθ+i sin nθ=1
1のn乗根は
cos+i sin, cos+i sin, cos+i sin, ...
⇔ nθ=2π, 4π, 6π, ... ⇔ θ=, , , ...
1の3乗根はcos+i sin= cos+i sin= 1 の3個(右図)だから,三角形の面積は ×= → 2 |
|
i3=−iだから
z3−i3=0 (z−i)(z2+zi+i2)=0 (z−i)(z2+zi−1)=0 z=i以外の解を,z2+zi−1=0から解の公式で求めると z== → 2 ≪別解≫ z=cosθ+i sinθとおいて,ド・モアブルの定理 (cosθ+i sinθ)n=cos nθ+i sin nθ を用いると z3=−i=i3 より cos 3θ+i sin 3θ=cos+i sin 3θ=, +2π, +4π θ=, , z=cosθ+i sinθ=i, −−, − → 2 |
|
ド・モアブルの定理
(cosθ+i sinθ)n=cos nθ+i sin nθ はnが負の整数の場合でも成り立つ. 1+i=(cos+i sin) だから (1+i)−8={ (cos+i sin) }−8 ={cos(−2π)+i sin(−2π)}= → 2 ≪別解≫ (1+i)2=1+2i−1=2i (1+i)4=(2i)2=−4 (1+i)8=(−4)2=16 だから (1+i)−8== → 2 |
|
複素数自体を計算しなくても|αβ|=|α|·|β|, ||=
を組み合わせて,絶対値だけ求めるとよい.
|1+2i|=|1−2i|, |3−i|=, |1+i|= だから ()2=()2=5 → 2 |
|
|