問題
 図のような長方形ABCDをX軸にそって、離れないように、すべらないようにしながら1回転させるとき、
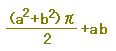
点Aの動いた後とX軸とで囲まれる図形の面積を求めなさい。ここで、AB=a, BC=b円周率はπとします。

<アニメーションによる解説>

解答
 次の中から正しいものを選びなさい。



○===メニューに戻る