■固有値,固有ベクトルの定義
n次正方行列Aに対して
A=λ (
となるような定数λとベクトル(n次元の列ベクトル)が存在するとき,λAの固有値といい,λに属する(に対する)固有ベクトルという.

○ 任意の正方行列Aに対して零ベクトル=は常にA=λを満たすが,このような解(自明解)=は固有ベクトルに含めない.
 このように固有ベクトルが零ベクトルでないという仮定は本質的なものである.

○ しかし他方では,固有値がλ=0となることは,しばしばある.次の例においてはλ=0の固有値が存在する.

だからλ=0は固有値
だからλ=1は固有値

だからλ=0は固有値
だからλ=6は固有値
だからλ=−3は固有値
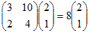
例1 2次正方行列での例
A=のとき,

となるから(行列の計算をしてみると分かる),固有値はλ=8 , -1 固有値λ1=8に属する固有ベクトルは
固有値λ2= −1に属する固有ベクトルは
例2 3次正方行列での例
A=のとき,


となるから(行列の計算をしてみると分かる),固有値はλ=1 , 2 , 3
固有値λ1=1に属する固有ベクトルは
固有値λ2=2に属する固有ベクトルは
固有値λ3=3に属する固有ベクトルは


○ あるベクトルが固有ベクトルであるとき,その定数倍(0倍以外)はすべて固有ベクトルとなる.
A=λ → A(k)=λ(k)
 (3次元を例にとると)1つの固有ベクトルがのとき, (k0以外の数)の形でその方向のすべての固有ベクトルを表すことができる.
 そこで,固有値と固有ベクトルを答えるとき,固有値は数値で答え,固有ベクトルは (k0以外の数)の形で答えるとよい.

○ 固有ベクトルの図形的意味
 
A=λ
となるとき,右辺はベクトルの定数倍だから,固有ベクトルとは行列Aによって
方向が変わらないベクトル
ということになる.(固有値が1でない限り大きさは変わる.固有値が負の数のときは逆向きになる・・・同じ向きと逆向きとを合わせて同じ方向というので,方向は変わらない.)2次元の場合,平面上のほとんどのベクトルはこのような性質をもたないが,2つの直線上にあるベクトルだけは方向が変わらない固有ベクトルとなる.
 Aが3次正方行列で固有値が3つあるとき,固有ベクトルは3種類ある.

○ 原点のまわりに角度Θだけ回転することを表す行列では,実数の固有値はない.(固有値は虚数になる.)このような場合には,x-yの実数平面上には方向の変わらないベクトルはない.
【 つぶやき・・・固有値と固有ベクトルは,どちらがニワトリでどちらが卵か 】

○ あるベクトルに対してA=λとなる定数λが存在するとき,Aの固有ベクトルという.

○ 与えられたn次正方行列Aに対して固有値と固有ベクトルを求める計算においては,まず固有値を求めて次に固有ベクトルを求める.
 日本語の教科書で固有ベクトルを示すときに「固有値λに属する固有ベクトル」と書かれているとこの手順が分かりやすい.

○ 英語では固有値が固有ベクトルに属する,固有ベクトルが固有値をもつという表記が見られる.(固有ベクトルが固有値をもっているという考え)
λ is an eigenvalue of A belonging to the eigenvector v.
λは固有ベクトルvに属するAの固有値]

Let v be an eigenvector having λ as eigenvalue.
λを固有値としてもつ固有ベクトル・・・]

An eigenvector with eigenvalue λ.
[固有値λをもつ固有ベクトルv

○ 〜と関連する,〜に付随する(associated with , associated to)と書くときは固有値に付随すると考えるようである.(固有値に固有ベクトルが付いているという考え)
an eigenvector associated with the eigenvalue.
The vector v is called eigenvector associated to the eigenvalue.
[固有値に付随する固有ベクトル]

○ 対応する(corresponding to)と書くときは固有値,固有ベクトルのいずれを主語とする表記もみられる.
λ is an eigenvalue of A corresponding to the eigenvector v.
λは固有ベクトルvに対応するAの固有値]
v is an eigenvector corresponding to λ.
vは固有値λに対応する固有ベクトル]

【要点】
 日本語表記で「対応する」「対する」と書き,英語表記で corresponding to と書けば,固有値・固有ベクトルのどちらを主語にしても書ける.
○===高卒〜大学数学基礎メニューに戻る  ○===戻る