|
≪剰余の定理≫
「剰余の定理」や「割り算の原理(商と余りの関係)」に関して多項式P(x)をx−αで割ったときの余りはP(α)に等しい. === よく練習するもの ===
【例1】
=== はっきりとは書いてなくても前提となっていること ===P(x)=x2+2をx−1で割ったときの余りは P(1)=12+2=3に等しい. 【例2】 P(x)=x2+2をx+2で割ったときの余りは P(−2)=(−2)2+2=6に等しい.
次のように「割り算」を実行すれば「商も余りも求まる」が,「剰余の定理」では割り算をしなくても「余りが求まる代わりに商は求まらない」.(1) 多項式をn次式で割ったときの余りはn−1次(以下の)多項式になる.
多項式の割り算では,余りが割る式と同じ次数ではまだ計算の途中とみなす.余りは必ず割る式よりも次数が低くなっていなければならない.だから,次の割り算のように「係数が分数になっても」余りの次数を下げなければならない. 右の例では,整数係数の多項式を整数係数の多項式で割ったときに,商も余りも有理数(分数)の係数になっている.
上記の(1)の例の通り
同様にして,「割る式,割られる式の係数の範囲」と「商と余りの係数の範囲」は次のように対応する.
(A)の整数係数の多項式割り算で商や余りが有理数になる例は上記(1)の例の通りであるが,
一般に割り算の係数の計算は和差積商の四則計算で行われるため,
整数÷整数は整数になるとは限らず,有理数になることがある.
(B)の場合,有理数は和差積商について閉じている(有理数の和差積商は有理数)であるから,有理係数多項式の割り算では商も余りも有理係数になる.しかし,四則計算では根号は登場しないから,整数係数の割り算で無理数や虚数の係数が登場することはない. (C)でも,実数は和差積商について閉じているから,実係数多項式の割り算で虚数係数の商や余りが登場することはない. →右上に続く
|
(3) 剰余の定理でαが整数でなければならないとは書いてない.一般にαは有理数でも無理数でも虚数でもよい.
【例3】
高校の教科書ではあまり登場しないが,αが無理数や虚数の場合でも使ってよい.P(x)=x2+x+2を 【例4】 P(x)=x2+x+2を 【例3】は となることを表しており 【例4】は となることを表している. したがって,これらで割ったとき,余りは等しいが商は2倍になっている.
【例題1】
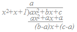
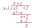
(解説)整数係数の多項式f(x)をx4−4で割ると余りがx3−3になる. このときf(x)をx2−2で割ったときの余りを求めよ. 整数係数の多項式を整数係数の多項式で割っているのだから,余りは一般に有理係数多項式になる. そこでf(x)をx2−2で割ったときの余りをax+b(ただしa,bは有理数)とおける. 仮定より f(x)=(x2−2)(x2+2)S(x)+x3−3 とおけるから また f(x)=(x2−2)T(x)+ax+b(a,bは有理数) とおくと (1)(2)より a,bは有理数だから,係数を比較して a=2, b=−3 余りは2x−3…(答) ※割り算実行で行うときは次のような答案になる. f(x)=(x2−2)(x2+2)S(x)+x3−3 をx2−2で割ったとき,(x2−2)(x2+2)S(x)の部分は割り切れるから,余りはx3−3を割った部分から出てくる.
右図のように割り算を実行すれば,余りは2x−3…(答) (※高校生向けに平易に解説するには,この答案の方がよいでしょう.上の答案は無理数を代入しても同じ結果が得られるということの例として示した) |
|
【例題2】
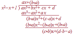
(解説)整数係数の多項式f(x)をx−1で割ると割り切れ,x2+x+1で割ると−x−2余るとき,f(x)をx3−1で割ったときの余りを求めよ. 整数係数の多項式を整数係数の多項式で割っているのだから,余りは一般に有理係数多項式になる. そこでf(x)をx3−1で割った余りをax2+bx+c(ただしa,b,cは有理数)とおける. f(x)=(x3−1)S(x)+ax2+bx+c 仮定よりf(1)=0だから a+b+c=0…(1) また仮定より f(x)=(x2+x+1)T(x)−x−2 とおけるから x2+x+1=0の1つの解を ω2+ω+1=0 ω3=1 f(ω)=aω2+bω+c=−ω−2 f(ω)=a(−ω−1)+bω+c=−ω−2 ω(−a+b+1)+(−a+c+2)=0 ωは虚数だから −a+c+2…(3) (1)(2)(3)より a=1, b=0,c=−1 余りはx2−1…(答) ※割り算実行で行うときは次のような答案になる. 仮定よりf(1)=0だから a+b+c=0…(1) f(x)=(x3−1)S(x)+ax2+bx+cをx2+x+1で割ったとき,(x3−1)S(x)の部分は割り切れるから,余りはax2+x+1を割った部分から出てくる.
右図のように割り算を実行すれば,余りは(b−a)x+(c−a) したがって b−a=−1…(2) c−a=−2…(3) (1)(2)(3)より a=1, b=0,c=−1 余りはx2−1…(答) |
【類題1】
参考答案を見る整数係数の多項式f(x)をx4+x2+1で割るとx3+1余るとき,f(x)をx2+x+1で割った余りを求めよ. (筆者作成)
x4+x2+1=(x2+1)2−x2=(x2+x+1)(x2−x+1)
だから,S(x)を有理係数多項式として f(x)=(x2+x+1)(x2−x+1)S(x)+x3+1…(1) と書ける. x2+x+1=0の1つの解を ω2+ω+1=0 ω3=1 (1)式にx=ωを代入すると f(ω)=(ω2+ω+1)(ω2−ω+1)S(ω)+ω3+1=2…(2) f(x)をx2+x+1で割った余りをax+b(a,bは有理数,T(x)は有理係数多項式)とおくと f(x)=(x2+x+1)T(x)+ax+b…(3) (3)式にx=ωを代入すると f(ω)=(ω2+ω+1)T(ω)+aω+b=aω+b…(4) (2)(4)を比較すると だから ゆえに,a=0, b=2 求める余りは2…(答) |
|
【類題2】
参考答案を見る整数係数の多項式f(x)をx2+x+1で割るとx+1余り,x2−x+1で割るとx−1余るとき,f(x)をx4+x2+1で割った余りを求めよ. (筆者作成)
x4+x2+1=(x2+1)2−x2=(x2+x+1)(x2−x+1)
だから,S(x)を有理係数多項式,a,b,cdを有理数として f(x)=(x2+x+1)(x2−x+1)S(x)+ax3+bx2+cx+d…(1) とおける. x2+x+1=0の1つの解を ω2+ω+1=0 ω3=1 (1)式にx=ωを代入すると f(ω)=aω3+bω2+cω+d =a+b(−ω−1)+cω+d =(c−b)ω+(a−b+d) これがω+1に等しいのだから c−b=1, a−b+d=1…(2) x2−x+1=0の1つの解を α2−α+1=0 α3=−1 (1)式にx=αを代入すると f(α)=aα3+bα2+cα+d =−a+b(α−1)+cα+d =(b+c)α+(−a−b+d) これがα−1に等しいのだから b+c=1, −a−b+d=−1…(3) (2)(3)からa=1, b=0, c=1, d=0 求める余りはx3+x…(答) |
※割り算実行で行うときは次のような答案になる.
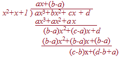
x4+x2+1=(x2+1)2−x2=(x2+x+1)(x2−x+1) だから,S(x)を有理係数多項式,a,b,cdを有理数として f(x)=(x2+x+1)(x2−x+1)S(x)+ax3+bx2+cx+d…(1) とおける. f(x)=(x2+x+1)(x2−x+1)S(x)+ax3+bx2+cx+dをx2+x+1で割ったとき,(x2+x+1)(x2−x+1)S(x)の部分は割り切れるから,余りはax3+bx2+cx+dを割った部分から出てくる.
右図のように割り算を実行すれば,余りは(c−b)x+(d−b+a) これがx+1に等しいのだから c−b=1, d−b+a=1 …(2) f(x)=(x2+x+1)(x2−x+1)S(x)+ax3+bx2+cx+dをx2−x+1で割ったとき,(x2+x+1)(x2−x+1)S(x)の部分は割り切れるから,余りはax3+bx2+cx+dを割った部分から出てくる.
右図のように割り算を実行すれば,余りは(c+b)x+(d−b−a) これがx−1に等しいのだから c+b=1, d−b−a=−1 …(3) (2)(3)からa=1, b=0, c=1, d=0 求める余りはx3+x…(答) |
|
【入試問題】
(解説)(1) (2) P(x)は有理数を係数とするxの多項式で, (京大2012年理系)
(1)
(1) 背理法によって示す.その証明のポイントは 辺々を3乗すると
省略可能だと思われるが,ていねいに書いてもよい.
m=2k+1(kは整数)ならば, m3=2(4k3+6k2+3k)+1となって,m3が2の倍数にならないからである 左辺は2の倍数であるから そこで, m=2k(kは整数)…(B) とおく (A)に代入 右辺は2の倍数であるから そこで, n=2l(lは整数)…(C) とおく (B)(C)はm, nは整数で互いに素という仮定に反するから矛盾 よって, (2) 有理係数の多項式を有理係数の多項式で割ると,商と余りは有理係数の多項式になるから (a,b,cは有理数) とおける. 仮定より, このとき,a=b=c=0となることを背理法によって示す. ア) a≠0のとき
(D)より
以上により,a=0が示された.このように 両辺に 左辺は無理数で右辺は有理数だから矛盾 これを(D)に代入すると イ) b≠0のとき矛盾を生ずることを示す.
(E)より
以上により,b=0が示された.左辺は無理数,右辺は有理数だから矛盾 これを(E)に代入すると,c=0 以上により,a=b=c=0 したがって,P(x)はx3−2で割り切れる。■証明終わり■ |
【類題3】
参考答案を見るP(x)を整数係数の3次式とし,1の虚数3乗根の1つをωとする. P(ω)=0となることは,P(x)をx−1で割ったときの余りが3の倍数となるための何条件になるか.理由をつけて述べよ. (筆者作成)
P(x)は整数係数の3次式だから
P(x)=ax3+bx2+cx+d(a,b,c,dは整数)…(1) とおける. (→) ωは1の虚数3乗根の1つだから ω2+ω+1=0…(2) ω3=1…(3) P(ω)=aω3+bω2+cω+d =a+b(−ω−1)+cω+d =(c−b)ω+(a−b+d)=0 a,b,c,dは整数だから c−b=0, a−b+d=0…(4) (4)よりc=b, d=b−aになるから P(x)=ax3+bx2+bx+b−a =a(x3−1)+b(x2+x+1) =a(x−1)(x2+x+1)+b(x2+x+1) このとき P(1)=3b(bは整数) となるから,3の倍数となる
成立しそうにないなと感じたら,反例を探して成り立たないことを示す
(←)P(x)=a(x−1)(x2+x+1)+3 を考えてみると,P(1)=3は3の倍数であるがP(ω)=0にはならない. 以上から,十分条件であるが必要条件ではない. |
|
【入試問題】
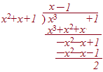
(解説)nを自然数とし,整式xnを整式x2−2x−1で割った余りをax+bとする.このときaとbは整数であり,さらにそれらをともに割り切る素数は存在しないことを示せ. (京大2013年理系)
一般にnの値ごとに商と余りは異なるので,これらをQn(x), anx+bnとおく. 以下,数学的帰納法によって示す. (T) n=1のとき
x1を整式x2−2x−1で割った余りはxだから
(U) n=k (k≧1)のとき,ak, bkは整数であり,さらにそれらをともに割り切る素数は存在しないと仮定するとa1=1, b1=0 これらは整数であり,さらにそれらをともに割り切る素数は存在しない.
xk=(x2−2x−1)Qk(x)+akx+bk
(ak, bkは整数であり,さらにそれらをともに割り切る素数は存在しない)とおける 両辺にxを掛けると xk+1=x(x2−2x−1)Qk(x)+akx2+bkx この式をx2−2x−1で割ったとき第1項は割り切れるから,余りは残りの項を割ったものになる. ak
x2−2x−1 ) akx2+bkxakx2−2akx−ak
(2ak+bk)x+ak
したがってak+1=2ak+bk
bk+1=ak
このとき,ak, bkは整数であるから,ak+1, bk+1も整数になる. もし,ak+1, bk+1をともに割り切る素数pが存在すれば ak+1=2ak+bk=A1p
bk+1=ak=B1p
となり ak=B1p
bk=A1p−2B1p=(A1−2B1)p
となって,ak, bkをともに割り切る素数は存在しないという仮定に反する. したがって,ak+1, bk+1をともに割り切る素数は存在しない. (T)(U)から,数学的帰納法により示された. |
【類題4.1】
参考答案を見るnを自然数とし,整式xnを整式x2+2x+3で割った余りをax+bとする.このときaとbは整数であり,aを3で割った余りは1になり,bは3で割り切れることを示せ.
ただし,負の整数−Mを正の整数mで割ったときの商を整数−q,余りを整数rとするとき,rは
−M=m(−q)+r (0≦r<m) を満たす0以上の整数rによって定義するものとする. (筆者作成)
(解説)
一般にnの値ごとに商と余りは異なるので,これらをQn(x), anx+bnとおく. 以下,数学的帰納法によって示す. (T) n=1のとき
x1を整式x2+2x+3で割った余りはxだから
(U) n=k (k≧1)のとき,ak, bkは整数であり,akを3で割った余りは1になり,bkは3で割り切れると仮定するとa1=1, b1=0 これらは整数であり,a1を3で割った余りは1になり,b1は3で割り切れる
xk=(x2+2x+3)Qk(x)+akx+bk
(ak, bkは整数であり,a1を3で割った余りは1になり,b1は3で割り切れる)とおける 両辺にxを掛けると xk+1=x(x2+2x+3)Qk(x)+akx2+bkx この式をx2+2x+3で割ったとき第1項は割り切れるから,余りは残りの項を割ったものになる. ak
x2+2x+3 ) akx2+bkxakx2+2akx+3ak
(−2ak+bk)x−3ak
したがってak+1=−2ak+bk
bk+1=−3ak
このとき,ak, bkは整数であるから,ak+1, bk+1も整数になる. 仮定によりak=3p+1, bk=3q(p, qは整数)とおけるから ak+1=−2(3p+1)+(3q) =3(q−2p)−2=3(q−2p−1)+1 bk+1=−3(3p+1)
となるから,ak+1を3で割った余りは1になり,bk+1は3で割り切れる.(T)(U)から,数学的帰納法により示された. |
|
【類題4.2】
参考答案を見るnを自然数とし,整式xnを整式x2+x+1で割った余りをax+bとする.このときaとbは整数であり,a2−ab+b2=1が成り立つことを示せ. (筆者作成)
(解説)
一般にnの値ごとに商と余りは異なるので,これらをQn(x), anx+bnとおく. 以下,数学的帰納法によって示す. (T) n=1のとき
x1を整式x2+x+1で割った余りはxだから
(U) n=k (k≧1)のとき,ak, bkは整数であり,a1=1, b1=0 これらは整数であり,a12−a1b1+b12=1が成り立つ ak2−akbk+bk2=1が成り立つと仮定する.
xk=(x2+x+1)Qk(x)+akx+bk
の両辺にxを掛けると xk+1=x(x2+x+1)Qk(x)+akx2+bkx この式をx2+x+1で割ったとき第1項は割り切れるから,余りは残りの項を割ったものになる. ak
x2+x+1 ) akx2+bkxakx2+akx+ak
(−ak+bk)x−ak
したがってak+1=−ak+bk
bk+1=−ak
このとき,ak, bkは整数であるから,ak+1, bk+1も整数になる. 仮定によりak2−akbk+bk2=1だから ak+12−ak+1bk+1+bk+12 =(−ak+bk)2−(−ak+bk)(−ak)+(−ak)2 =ak2−2akbk+bk2−ak2+akbk+ak2 =ak2−akbk+bk2=1 が成り立つ. よって,n=k+1のときも成立する. (T)(U)から,数学的帰納法により示された. |
(別解:1の虚数3乗根ωの性質を用いた答案)
1の虚数3乗根ωは次の性質を満たす. ω2+ω+1=0 ω3=1 そこでxn=(x2+x+1)Qn(x)+anx+bnの両辺にx=ωを代入すると ωn=(ω2+ω+1)Qn(ω)+anω+bn ここでω2+ω+1=0だから ωn=anω+bn ア) n=3k(kは1以上の整数)のとき ω3k=anω+bn 1=anω+bn よって an=0, bn=1 このときaとbは整数で a2−ab+b2=1 が成り立つ イ) n=3k+1(kは0以上の整数)のとき ω3k+1=anω+bn ω=anω+bn よって an=1, bn=0 このときaとbは整数で a2−ab+b2=1 が成り立つ
実際には次の図のように3種類の値を循環している
ウ) n=3k+2(kは0以上の整数)のとき
ω3k+2=anω+bn ω2=anω+bn −ω−1=anω+bn よって an=−1, bn=−1 このときaとbは整数で a2−ab+b2=1 が成り立つ ア)イ)ウ)からすべての正の整数nについて成り立つ |