■行列式
→ 印刷用PDF版は別頁
【はじめに】
○ 行列は,その要素の個数だけの独立した要素から成りたっており,次のように [ ] や( )で囲んで表します.
2行2列の
正方行列の例
4行3列の
行列の例
○ 行列式は1つの数で,正方行列に対してだけ定義され,正方行列でないときは行列式を考えません.

○ 行列式の値は,次のように | |やdet( )で囲んで表します.(英語で行列式を表す用語:determinantの略)

○ 【行列式の求め方 】 ・・・余因子展開による計算

(1) 1次正方行列(1×1行列)の行列式はその数とする.

det(3)=3
※ 1次正方行列については|3|の記号を使うと絶対値記号と区別がつかないので注意
(2) 2次正方行列の行列式は,ad−bcとする.
※2次の行列式の値は,高校でも習い,覚えておくのが普通です
=ad−bc
 det=2·4−1·3=5
(3) 3次正方行列の行列式は,次のように2次正方行列の行列式で定義できる.
=a−d+g

=3(−20+12)−2(−16+6)+(−8+5)=−24+20−3=−7

※3次正方行列だけに適用できるサリュの方法もあるが,サリュの方法は他の行列には適用できないので,ここではふれない.

(4) 以下同様にしてn次正方行列の行列式は(n-1)次正方行列の行列式に展開したものによって帰納的に定義する.・・・(前のものによって次のものを定義する.)
※ 各成分aijに対して
(−1)i+jaij×(その行と列を取り除いた行列の行列式)
余因子という.

※ 1つの列または1つの行についてすべての余因子を加えたものを余因子展開という.
 余因子展開は,計算し易い行または列に関して行えばよく,どの行・どの列について余因子展開しても結果は変わらないということが知られている.

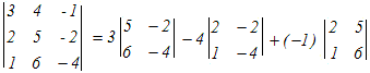
 たとえば,次の計算は,3次の行列式を第1列に関して余因子展開したものです.

=3(−20+12)−2(−16+6)+(−8+5)=−24+20−3=−7


 同じ行列式で,第1行に関して余因子展開すると次のようになります.

=3(−20+12)−4(−8+2)−(12−5)=−24+24−7=−7

【Excelで行列式を計算する方法】
 正方行列の各成分が整数や分数の数値である場合は,Excelの関数MDETERM()を使って,行列式の値を計算することができます.
=MDETERM(範囲)
 例えば,次のように4×4行列の成分がA1:D4の範囲に書きこまれているとき

ABCDE
1123-1
201-25
32302
4-2241
5




この行列式の値をセルE5に書きこみたければ,E5に =MDETERM(A1:D4) と書き込めばよい.結果は50になります.

 このデータで結果を確かめるには,Excelに数値を転記する必要はなく,Web画面上で範囲をドラッグ&コピーしてから,Excel上で単純にペーストする(貼り付ける)とよい.(以下の問題も同様)

 以下,正しい番号を選択してください.
 なお,Excelで検算するには,Web画面上で行列式の範囲をドラッグ&コピーしてから,Excel上に単純ペーストし(貼り付け)てから,上記の関数 MDETERM()を使うとよい.
[問題1]
次の行列式の値を求めてください.
12
35

1−1 20 31 411



[問題2]
次の行列式の値を求めてください.
23
-10

12 23 34 45



[問題3]
次の行列式の値を求めてください.
1 -1 3
0 1 2
-2 3 1

13 24 35 46



[問題4]
次の行列式の値を求めてください.
1 -2 5
2 3 -1
1 0 2

1−2 2−1 31 42



[問題5]
次の行列式の値を求めてください.
5 2 -1
4 1 0
3 -1 1

11 24 38 412



[問題6]
次の行列式の値を求めてください.
2 0 0
3 3 2
-4 1 1

12 24 38 416



[問題7]
次の行列式の値を求めてください.
2 1 3 2
1 0 4 0
3 2 0 2
-2 -1 1 3

12 24 36 48



[問題8]
次の行列式の値を求めてください.
3 1 2 5
-1 1 3 6
4 0 2 1
5 1 0 4

12 24 36 48




◆自由研究◆
 各自で確かめたい問題があれば,次の空欄を埋めて「計算する」ボタンを押してください.
空欄に書き込むことができるのは,半角の(1バイト文字の)整数,小数,分数及び符号のマイナスです.正の分数は 2/3 のように,負の分数は -2/3 のように書きこむものとします.
 全角文字(2バイト文字),文字式,根号,πなどの記号定数では計算できません.(NaN : Not A Number[数値ではない]と表示)
Tabキーを使うと次の窓枠に移れます.

○2次の行列式
=

計算する やり直す

○3次の行列式
=

計算する やり直す
○4次の行列式
=

計算する やり直す
..高卒〜大学数学のメニューに戻る  ○===メニューに戻る